DISTRIBUCIÓN EXPONENCIAL
A pesar de la sencillez analítica de sus funciones de definición, la distribución exponencial tiene una gran utilidad práctica ya que podemos considerarla como un modelo adecuado para la distribución de probabilidad del tiempo de espera entre dos hechos que sigan un proceso de Poisson. De hecho la distribución exponencial puede derivarse de un proceso experimental de Poisson con las mismas características que las que enunciábamos al estudiar la distribución de Poisson, pero tomando como variable aleatoria , en este caso, el tiempo que tarda en producirse un hecho
Obviamente, entonces , la variable aleatoria será continua. Por otro lado existe una relación entre el parámetro a de la distribución exponencial , que más tarde aparecerá , y el parámetro de intensidad del proceso l , esta relación es a = l
Al ser un modelo adecuado para estas situaciones tiene una gran utilidad en los siguientes casos:
· Distribución del tiempo de espera entre sucesos de un proceso de Poisson
· Distribución del tiempo que transcurre hasta que se produce un fallo, si se cumple la condición que la probabilidad de producirse un fallo en un instante no depende del tiempo transcurrido .Aplicaciones en fiabilidad y teoría de la supervivencia.
Función de densidad.
A pesar de lo dicho sobre que la distribución exponencial puede derivarse de un proceso de Poisson , vamos a definirla a partir de la especificación de su función. de densidad:
Dada una variable
aleatoria X que tome valores reales no negativos {x ³
0} diremos que tiene una distribución exponencial de parámetro
a con a
³ 0, si y sólo si su función de densidad tiene la
expresión: ![]()
Diremos entonces que
![]()
Gráficamente como ejemplo planteamos el modelo con parámetro a =0,05
En consecuencia , la función de distribución será:

En la principal aplicación de esta distribución , que es la Teoría de la Fiabilidad, resulta más interesante que la función de distribución la llamada Función de Supervivencia o Función de Fiabilidad.
La función de Supervivencia se define cómo la probabilidad de que la variable aleatoria tome valores superiores al valor dado X:
![]()
Si el significado de la variable aleatoria es "el tiempo que transcurre hasta que se produce el fallo": la función de distribución será la probabilidad de que el fallo ocurra antes o en el instante X: y , en consecuencia la función de supervivencia será la probabilidad de que el fallo ocurra después de transcurrido el tiempo X ; por lo tanto, será la probabilidad de que el elemento, la pieza o el ser considerado "Sobreviva" al tiempo X ; de ahí el nombre.
Gráficamente, la función de distribución para un modelo exponencial de parámetro a =0,05 sería :
En la que se observa lo que sería la diferencia entre función de distribución y la de supervivencia
La Función Generatriz de Momentos será :
![]()

tendremos así que la F.G.M será :

Una vez calculada la F.G.M podemos , partiendo de ella , calcular la media y la varianza
Así la media será:
![]()
![]()
En cuando a la varianza su expresión será :
ya que
![]()
La mediana del modelo exponencial será aquel valor de la variable x =Me que verifica que F(Me) = ½
De manera que
por lo que
![]()
Tasa instantánea de fallo.
Dentro del marco de la teoría de la fiabilidad si un elemento tiene una distribución del tiempo para un fallo con una función de densidad f(x) , siendo x la variable tiempo para que se produzca un fallo , y con una función de supervivencia S(X) La probabilidad de que un superviviente en el instante t falle en un instante posterior t + D t será una probabilidad condicionada que vendrá dada por:
![]()
Al cociente entre esta probabilidad condicionada y la amplitud del intervalo considerado, t , se le llama tasa media de fallo en el intervalo [t , t+D t] :
![]()
Y a la tasa media de fallo en un intervalo infinitésimo es decir, al límite de la tasa media de fallo cuando D t® 0 se le llama Tasa Instantánea de Fallo (o, simplemente, tasa de fallo) en t:
![]()
![]()
La tasa de fallo es, en general, una función del tiempo, que define unívocamente la distribución.
Pues bien, puede probarse que el hecho de que la tasa de fallo sea constante es condición necesaria y suficiente para que la distribución sea exponencial y que el parámetro es, además, el valor constante de la tasa de fallo.
en efecto:
si ![]()
de
donde
integrando esta ecuación diferencial entre 0 y x :
![]()
de modo
que la función de distribución será
Función de Distribución de una Exponencial
![]()
Si X tiene una distribución exponencial
![]()
de manera que
![]()
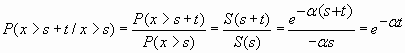
Así pues si un elemento tiene una distribución de fallos exponencial su tasa de fallos se mantiene constante a lo largo de toda la vida del elemento. La probabilidad de fallar en un instante no depende del momento de la vida del elemento en el que nos encontremos; lo que constituye la propiedad fundamental de la distribución que ahora enunciamos:
Propiedad fundamental de la distribución exponencial
La distribución exponencial no tiene memoria :
Poseer información de que el elemento que consideramos ha sobrevivido un tiempo S (hasta el momento) no modifica la probabilidad de que sobreviva t unidades de tiempo más. La probabilidad de que el elemento falle en una hora (o en un día, o en segundo) no depende del tiempo que lleve funcionando. No existen envejecimiento ni mayor probabilidad de fallos al principio del funcionamiento

Expresión que no depende , como se observa , del tiempo sobrevivido s.